In the triangle ABC above, the black lines represent a harp string as it is being plucked. Points A and B represent the ends of the string and point C represents the point where the string has been pulled and is about to be released.
Let us imagine that just at that moment, the fingernail or fingertip at point C represents an object in static equilibrium with three coplanar, concurrent and non co-linear forces acting upon it. The force of the plucking action required to displace the string as far as point C and the tension at both ends pulling towards point A and towards point B. We can use the known values for a string to resolve the forces acting on the fingernail using an approximation of Lamis theorem. [1]

In the case of a plucked string the size of the angles θa and θb is negligible therefore the sine of α and β are both approximately 1 (sin90°). For the same reason the forces FA and FB can be equated to the string tension; there will be a marginal increase in tension resulting from the plucking action but this is ignored here, hence:

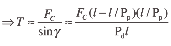
Therefore the plucking force Fp is equivalent to Tsinγ. Note that the margin of error resulting from this approximation will increase if the depth of the plucking action increases.
Evaluating sinγ is slightly more complex. This will vary depending on the point where the string is plucked and how hard or 'deep' the string is plucked.
sinγ = sin(γa + γb) = sinγacosγb + cosγasinγb
sinγa = cosθa = |OA|/|AC|
sinγb = cosθb = |OB|/|BC|
cosγa = sinθa = |OC|/|AC|
cosγb = sinθb = |OC|/|BC|
∴ sinγ = (|OA|/|AC|)(|OC|/|BC|) + (|OC|/|AC|)(|OB|/|BC|)
From the approximation sinγa and sinγb are both equivalent to 1 so the expression becomes:
sinγ ≈ |OC|/|BC| + |OC|/|AC|
AC and BC can be solved using Pythagoras' theorem but continuing with the approximation the Hypotenuse in both triangles will be equivalent to the adjacent side and can be expressed thus:
|BC| ≈ l/Pp
|AC| ≈ l - (l/Pp)
|OC| = Pd
Where l is the vibrating length of the string |AB|, Pd is the plucking depth and Pp is the plucking point.




With FC being equivalent to the plucking force Fp 
[1] Lamis theorem states that if three coplanar, concurrent and non colinear forces are in equilibrium, then each force is proportional to the sine of the angle between the other two forces. These approximations follow principles similar to those outlined by Ephraim Segerman in 'Some relationships involving string displacement', Comm. 1806, FoMRHI Quarterly 107-8 (Apr-Jul 2002), p. 25
Submitted by Paul Dooley, 21 March, 2013. © 2004-2013 Paul Dooley
Except where otherwise noted, content on this site is licensed under a Creative Commons License.
Permissions beyond the scope of this license may be available by contacting us at editor@wirestrungharp.com.